Propiedades del determinante
El determinante de una matriz presenta las siguientes propiedades fundamentales:
- El determinante de la matriz traspuesta, det(AT), coincide con el determinante de la matriz original, det(A).
Ejemplo. En la matriz siguiente, trasponerla no modifica el valor del determinante.

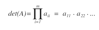
- Si una matriz es triangular (superior o inferior), su determinante se obtiene simplemente multiplicando los elementos de la diagonal principal.
Ejemplo. En estos casos, el cálculo del determinante resulta mucho más sencillo y rápido.

- Al intercambiar dos filas o dos columnas, el determinante cambia de signo.
Ejemplo.

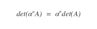
- Multiplicar una fila o una columna por un escalar \( \alpha \) multiplica también el determinante por ese mismo factor: det(\(\alpha\)A) = \(\alpha\) det(A).
Ejemplo. En este caso, la cuarta fila R4 se multiplica por 2, lo que provoca que el determinante también se duplique.

- Si a una fila se le suma un múltiplo de otra (o a una columna un múltiplo de otra), el determinante permanece inalterado.
Ejemplo. Aquí, la cuarta fila R4 se reemplaza sumándole dos veces la primera fila R1.

- El determinante de una matriz es nulo en los siguientes casos:
a) Una fila o una columna está formada únicamente por ceros.

b) Dos filas o dos columnas son idénticas.

c) Dos filas o dos columnas son proporcionales.
Nota. Si una fila o una columna puede expresarse como combinación lineal de las demás, la matriz es linealmente dependiente, lo que implica que su determinante es cero.
- El determinante del producto de dos matrices cumple la identidad: det(AB) = det(A) det(B) ( Teorema de Binet ).

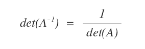
- El determinante de la inversa de una matriz es el recíproco de su determinante: det(A-1) = 1/det(A).
Demostración. Según el teorema de Binet, el determinante de un producto A·B es igual al producto de sus determinantes: $$ det(A \cdot B) = det(A) \cdot det(B) $$ Aplicando esto a una matriz A invertible y a su inversa A-1: $$ det(A \cdot A^{-1}) = det(A^{-1}) \cdot det(A) $$ Como el producto de una matriz por su inversa es la matriz identidad, se cumple que: $$ det(A \cdot A^{-1}) = det(I) $$ El determinante de la matriz identidad es 1; por lo tanto: $$ det(A) \cdot det(A^{-1}) = 1 $$ En consecuencia: $$ det(A^{-1}) = \frac{1}{det(A)} $$ Con esto queda demostrada la propiedad.
Y así sucesivamente.