Transpuesta de una matriz
¿En qué consiste la transpuesta de una matriz?
La transpuesta de una matriz se obtiene intercambiando sus filas por columnas. Si \( A = (a_{ij}) \) es una matriz real de dimensión \( m \times n \), su transpuesta, denotada por \( A^T \), será una matriz de dimensión \( n \times m \).
![]()
Ejemplo: Para obtener la transpuesta \( A^T \) de una matriz \( A \), basta con reescribir cada fila como una columna.

La notación \( A^T \) se emplea específicamente para indicar la transpuesta de la matriz A y no debe confundirse con una operación de potenciación.
En algunos contextos también pueden encontrarse otras notaciones, como \( t(A) \), \( A^t \) o \( ^tA \).
Propiedades de la transposición
La operación de transposición posee varias propiedades fundamentales:
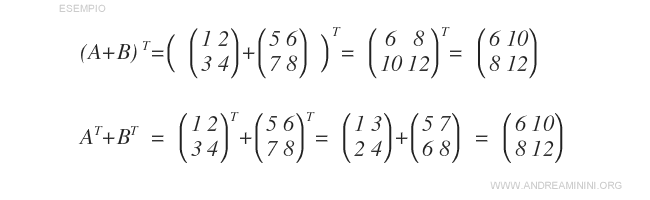
- La transpuesta de la suma de dos matrices es igual a la suma de sus transpuestas: \( (A + B)^T = A^T + B^T \).

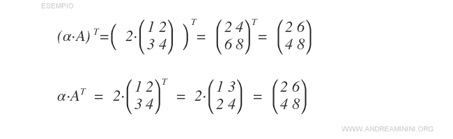
- La transpuesta del producto de un escalar por una matriz es igual al escalar por la transpuesta de dicha matriz: \( (\alpha A)^T = \alpha A^T \).

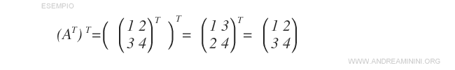
- La transpuesta de la transpuesta de una matriz devuelve la matriz original: \( (A^T)^T = A \).
Nota: Esta propiedad indica que la transposición es una operación involutiva.
Casos particulares
- Una matriz de dimensión \( 1 \times 1 \) es igual a su transpuesta.

- La transpuesta de una matriz fila de dimensión \( 1 \times n \) es una matriz columna de dimensión \( n \times 1 \).

- La transpuesta de una matriz columna de dimensión \( m \times 1 \) es una matriz fila de dimensión \( 1 \times m \).
