Submatrices
Una submatriz se obtiene al seleccionar determinadas filas y columnas de una matriz dada, respetando estrictamente el orden original en el que aparecen.

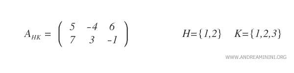
Definición de submatriz: Sean \( I = \{1, \dots, m\} \) y \( J = \{1, \dots, n\} \) subconjuntos de \( \mathbb{Z} \), y sea \( A = (a_{ij}) \) una matriz de orden \( m \times n \), con \( i \in I \) y \( j \in J \). Si tomamos \( H \subseteq I \) y \( K \subseteq J \), la submatriz correspondiente se denota \( A_{HK} = (a_{ij}) \), donde \( i \in H \) y \( j \in K \).
Ejemplo práctico
Consideremos una matriz \( A_{2 \times 4} \), es decir, una matriz con dos filas (\( m = 2 \)) y cuatro columnas (\( n = 4 \)).

Seleccionando subconjuntos específicos \( H \) y \( K \) de \( I \) y \( J \), se construye una submatriz \( A_{HK} \).

Nota: En este caso se han seleccionado las tres primeras columnas, omitiendo la última.

Es fundamental señalar que las filas y columnas elegidas no necesitan ser contiguas.

Nota: En este ejemplo, la submatriz se ha generado seleccionando las columnas primera, tercera y cuarta.

Lo esencial es que la submatriz conserve el orden relativo de filas y columnas tal como aparece en la matriz original.
Ejemplo: Si se altera el orden de las columnas seleccionadas, la matriz resultante deja de ser una submatriz en sentido estricto, aunque contenga los mismos valores. No se considera una submatriz válida porque se ha modificado el orden de las columnas.
