Matrices inversibles et matrices inverses
En algèbre linéaire, une matrice carrée \( A \) d’ordre \( n \) est dite inversible s’il existe une autre matrice carrée de même ordre, appelée matrice inverse et notée \( A^{-1} \), telle que \( A \cdot A^{-1} = I \) et \( A^{-1} \cdot A = I \), où \( I \) désigne la matrice identité.

En notation matricielle, l’inverse est indiqué par l’exposant −1, à l’image de la notation de l’inverse multiplicatif en arithmétique.
Remarque. L’idée de matrice inverse est analogue à celle du réciproque d’un nombre réel : tout nombre réel non nul possède un inverse multiplicatif \( \tfrac{1}{a} \) vérifiant \( a \cdot \tfrac{1}{a} = 1 \). De même, si une matrice \( M \) est inversible, il existe \( M^{-1} \) tel que \( M \cdot M^{-1} = I \), où \( I \) joue le rôle de neutre multiplicatif : \( M \cdot I = M \).
Toutes les matrices ne sont pas inversibles : en réalité, nombre d’entre elles n’admettent pas d’inverse.
L’ensemble de toutes les matrices inversibles d’ordre \( n \) à coefficients réels se note \( \text{GL}_n(\mathbb{R}) \) ou \( \text{GL}(n,\mathbb{R}) \).
$$ \text{GL}(n, \mathbb{R}) $$
Cet ensemble est appelé le groupe linéaire général d’ordre \( n \) sur le corps des réels.
Remarque. L’ensemble \( \text{GL}_n(\mathbb{R}) \) est stable par multiplication : le produit de deux matrices inversibles du même ordre est encore une matrice inversible. De plus, la matrice identité \( I \) appartient à \( \text{GL}_n(\mathbb{R}) \).
Exemple de matrice inverse
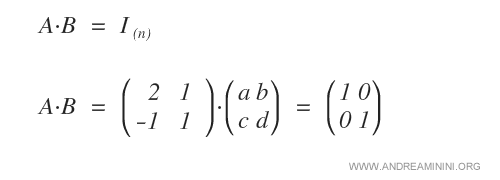
Considérons la matrice suivante :

Cette matrice est inversible, c’est-à-dire qu’il existe une matrice \( A^{-1} \) telle que \( A \cdot A^{-1} = I_{(2)} \), où \( I_{(2)} \) désigne la matrice identité d’ordre 2.

Calcul de la matrice inverse : deux approches
On distingue principalement deux méthodes pour calculer l’inverse d’une matrice inversible :
Remarque. La seconde méthode est en général plus efficace sur le plan algorithmique, tandis que la première met en évidence les aspects conceptuels du lien entre matrices et systèmes linéaires.
Méthode 1
Soit une matrice \( A \). On cherche à savoir si elle est inversible et, le cas échéant, à déterminer son inverse \( A^{-1} \).

Si \( A \) est inversible, on doit avoir \( A \cdot A^{-1} = I \).

Pour le vérifier, on suppose que \( A \) est multipliée par une matrice \( B \) à coefficients inconnus, et l’on impose que le produit soit égal à la matrice identité.

Le développement du produit ligne par colonne conduit à un système d’équations linéaires.

La résolution de ce système permet de déterminer les coefficients de \( A^{-1} \). Si le système est compatible et déterminé, la matrice \( A \) est bien inversible.

Remarque. Bien que ce procédé soit instructif et utile à des fins pédagogiques, il devient vite impraticable pour des matrices de grande dimension. Dans ce cas, la seconde méthode est à privilégier.
Méthode 2
Pour une matrice \( 1 \times 1 \), son inverse est simplement \( A^{-1} = a_{11}^{-1} \). Pour les matrices d’ordre supérieur, on applique la formule : $$ A^{-1} = \frac{1}{\det(A)} \cdot \text{adj}(A) $$ où \( \text{adj}(A) \) désigne la matrice adjointe.
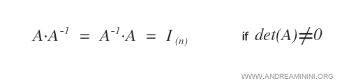
Le théorème d’existence stipule qu’une matrice est inversible si, et seulement si, son déterminant est non nul.

Lorsque \( \det(A) \neq 0 \), la matrice est inversible. Pour calculer son inverse, on procède en trois étapes : 1) on construit la matrice des cofacteurs, 2) on la transpose pour obtenir l’adjointe, 3) on multiplie le tout par le scalaire \( \tfrac{1}{\det(A)} \).
Remarque. Si \( \det(A) = 0 \), la matrice n’est pas inversible et le processus s’arrête là.
Propriétés des matrices inverses
- Seules les matrices carrées peuvent être inversibles. Si une matrice est inversible, son inverse est nécessairement unique.
- L’inverse d’une matrice ne s’obtient pas en inversant individuellement chacun de ses coefficients. Ses entrées peuvent différer radicalement de celles de \( A \), même si, dans certains cas particuliers, elles coïncident. Par exemple, l’inverse de la matrice identité est elle-même.
- Si \( A \) est inversible, alors \( A^{-1} \) l’est également, et l’on a : \( (A^{-1})^{-1} = A \).
- Le déterminant de \( A^{-1} \) est l’inverse de celui de \( A \) : $$ \det(A^{-1}) = \frac{1}{\det(A)} $$
- La transposée d’une matrice inversible est elle aussi inversible : $$ (A^{T})^{-1} = (A^{-1})^{T} $$
- Si \( A \) et \( B \) sont inversibles, alors leur produit l’est également, et l’on a : $$ (AB)^{-1} = B^{-1}A^{-1} $$
- Une matrice de déterminant nul n’est pas inversible. Seules les matrices non singulières (celles dont le déterminant est non nul) possèdent une inverse.
- L’existence de l’inverse entraîne son unicité.