La relativité du temps
La relativité du temps est l'une des découvertes les plus fascinantes d'Einstein. Elle a bouleversé notre manière de concevoir le mouvement, la lumière et même le passage du temps. Ce que l'on croyait universel - le tic-tac régulier d'une horloge - dépend en réalité de celui qui observe.
Le temps n'est pas le même pour tout le monde
Le temps ne s'écoule pas partout au même rythme. Il ralentit ou s'accélère selon la vitesse à laquelle on se déplace. Si tu voyages presque à la vitesse de la lumière, ton horloge semblera tourner plus lentement… tandis que, pour quelqu'un resté sur Terre, tout paraît normal.
Quand la vitesse augmente, le temps ralentit
La durée d'un événement dépend toujours du regard de l'observateur.
Exemple. Dans un laboratoire immobile, une expérience dure t secondes. Vue depuis un vaisseau se déplaçant presque à la vitesse de la lumière, la même expérience semble durer davantage.
Ce n'est pas l'expérience qui change, mais le temps lui-même qui se dilate : il s'étire avec la vitesse.
Des preuves observées dans la nature
Cette idée n'est pas qu'une théorie élégante : elle a été confirmée par l'expérience. L'un des exemples les plus impressionnants vient de l'étude des rayons cosmiques, ces particules qui frappent notre atmosphère à des vitesses proches de celle de la lumière.
En entrant dans l'atmosphère, ces rayons créent des particules subatomiques appelées muons.

En théorie, ces muons devraient se désintégrer presque aussitôt, avant d'atteindre le sol : leur durée de vie moyenne est de seulement 1,5·10-6 secondes.

Et pourtant, ils arrivent jusqu'à la surface terrestre. Un mystère ? Pas vraiment.
Einstein avait déjà la réponse
Selon Einstein, la vitesse de la lumière est une constante universelle : elle ne dépend ni de l'observateur ni du mouvement de la source. Rien ne peut aller plus vite qu'elle.
La seule explication au comportement des muons est donc la dilatation du temps : pour eux, le temps s'écoule plus lentement que sur Terre.

Autrement dit, quand une seconde passe pour un muon, vingt secondes s'écoulent sur Terre.

Ce phénomène naturel, confirmé par des mesures précises, s'appelle la dilatation temporelle.
À retenir. Pour un observateur terrestre, le muon semble vivre vingt fois plus longtemps - comme si l'on regardait son existence au ralenti.
Le deuxième postulat de la relativité restreinte affirme que la vitesse de la lumière reste la même pour tout observateur, qu'il soit au repos ou en mouvement.

Si la lumière garde toujours sa vitesse et que le temps se dilate, une particule peut parcourir davantage de distance avant de se désintégrer. Voilà pourquoi les muons atteignent la Terre : leur horloge interne tourne plus lentement.
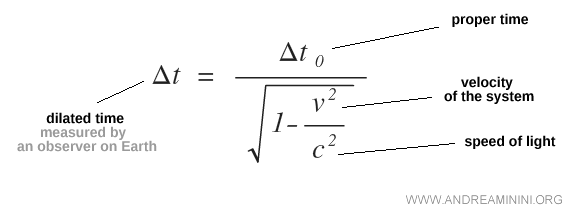
La formule de la dilatation du temps
Les expériences ont permis d'établir une relation précise entre le temps mesuré dans un système immobile et celui observé dans un système en mouvement.

La formule qui relie les deux durées est donnée par Einstein :

Quand la vitesse (v) est nulle, le temps s'écoule au même rythme dans les deux systèmes.

Mais plus un objet se déplace vite, plus le temps ralentit à bord de son référentiel.


Exemple. Imagine une horloge à bord d'un vaisseau spatial lancé à une vitesse proche de celle de la lumière (Fig. C - horloge de gauche). Ses aiguilles tourneraient beaucoup plus lentement que celles d'une horloge restée sur Terre (Fig. A - horloge de droite).
Quand le temps se dilate, l'espace se contracte
Le temps et l'espace ne sont pas deux réalités séparées, mais deux aspects d'un même ensemble : le continu espace-temps.
Quand le temps ralentit, l'espace se contracte. Et inversement : si le temps s'accélère, l'espace s'étend.

Cette unité entre l'espace et le temps est l'un des piliers de la relativité et l'un des plus beaux exemples de la puissance de l'intuition d'Einstein.