Serie de Fourier
¿Qué es una serie de Fourier?
Una serie de Fourier permite descomponer una función periódica en una suma infinita de funciones sinusoidales, es decir, senos y cosenos. Esta idea, sencilla en apariencia, es una de las herramientas más potentes del análisis matemático.

Los términos a0, ak y bk se denominan coeficientes de Fourier y determinan el peso de cada seno y coseno en la descomposición.
Estos coeficientes dependen únicamente del comportamiento de la función f(x) en cualquier intervalo de longitud 2π.
¿Para qué se utiliza?
Gracias a una elección adecuada de los coeficientes, una serie de Fourier permite representar una gran variedad de funciones periódicas y oscilatorias.
Por este motivo, se ha convertido en una herramienta esencial en física, tratamiento de señales, telecomunicaciones e ingeniería eléctrica.
Nota. Joseph Fourier introdujo este desarrollo a comienzos del siglo XIX al estudiar la conducción del calor. Desde entonces, se ha consolidado como un pilar del análisis moderno, especialmente en el estudio de fenómenos ondulatorios y vibratorios.
Construcción de una serie de Fourier
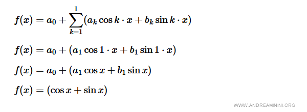
Para entender el mecanismo, partimos de un caso sencillo en el que los coeficientes a0, ak y bk son constantes:
$$ a_0 = 0 \\ a_k = 1 \\ b_k = 1 $$
El primer término, correspondiente a k=1 y conocido como término fundamental, es:

Esta expresión proporciona una aproximación muy básica de una onda cuadrada de período T=2π.

Si añadimos el siguiente armónico, obtenemos la aproximación de orden k=2:

El gráfico comienza a cambiar, incorporando detalles más finos de la forma de onda.

Al incluir un tercer término, la aproximación de orden k=3 es:

La función se aproxima cada vez mejor a la señal original.

En general, cuantos más términos se añaden, más precisa es la reconstrucción de la función periódica.
En la siguiente sección se explica cómo calcular los coeficientes de Fourier.
Nota. Más abajo se desarrolla un ejemplo completo paso a paso.
Funciones representables mediante una serie de Fourier
Una función periódica f(x), de período 2π y definida en la recta real, es representable mediante una serie de Fourier si existen coeficientes a0, ak y bk, con k∈N, tales que

En la práctica, estos coeficientes capturan toda la información relevante de la función en un solo período.
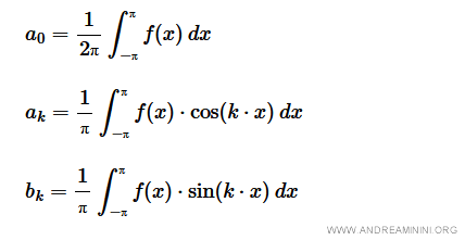
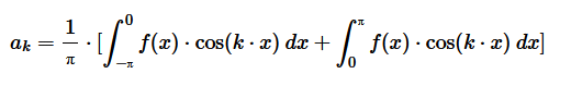
Cálculo de los coeficientes de Fourier
En el intervalo [-π,π], los coeficientes se obtienen mediante las siguientes integrales:

para k = 1, ..., n.
Nota. La serie de Fourier converge a f(x) en todos los puntos donde la función es continua. En los puntos de discontinuidad, converge al valor medio entre los límites laterales.
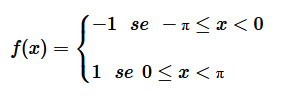
Ejemplo resuelto
Veamos cómo se construye explícitamente una serie de Fourier a partir de una señal tipo pulso.

Se trata de una función periódica de período 2π, definida en [-π,π] por:

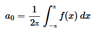
Primero calculamos a0:

Separamos la integral:
$$ a_0 = \frac{1}{2 \pi} \left[ \int_{- \pi}^0 f(x)\,dx + \int_0^{\pi} f(x)\,dx \right] $$
Sustituimos los valores de f(x):
$$ a_0 = \frac{1}{2 \pi} \left[ \int_{- \pi}^0 (-1)\,dx + \int_0^{\pi} 1\,dx \right] $$
$$ a_0 = \frac{1}{2 \pi} \left[ - (0 - (-\pi)) + (\pi - 0) \right] $$
$$ a_0 = 0 $$
A continuación calculamos ak:

Separamos la integral:
![$$ a_k = \frac{1}{π} [ \int_{-π}^0 f(x)\cos(kx)\,dx + \int_0^{\pi} f(x)\cos(kx)\,dx ] $$](/data/andreaminininet/fourier-series-amnet-2026-14.gif)
Sustituimos f(x):
![$$ a_k = \frac{1}{π} [ - \int_{-π}^0 \cos(kx)\,dx + \int_0^{\pi} \cos(kx)\,dx ] $$](/data/andreaminininet/fourier-series-amnet-2026-15.gif)
Aplicando el teorema fundamental del cálculo:
$$ a_k = \frac{1}{\pi} \left[ -\frac{\sin(kx)}{k}\Big|_{-\pi}^0 + \frac{\sin(kx)}{k}\Big|_0^{\pi} \right] $$
De donde se obtiene:
$$ a_k = 0 $$
Por tanto, ak = 0 para todo k.
Finalmente, calculamos bk:

Separamos la integral:
![$$ b_k = \frac{1}{π} [ \int_{-π}^0 f(x)\sin(kx)\,dx + \int_0^{\pi} f(x)\sin(kx)\,dx ] $$](/data/andreaminininet/fourier-series-amnet-2026-18.gif)
Sustituimos f(x):
![$$ b_k = \frac{1}{π} [ - \int_{-π}^0 \sin(kx)\,dx + \int_0^{\pi} \sin(kx)\,dx ] $$](/data/andreaminininet/fourier-series-amnet-2026-19.gif)
Utilizamos la primitiva:
$$ \int \sin(kx)\,dx = -\frac{\cos(kx)}{k} $$
Aplicando el teorema fundamental:
![$$ b_k = \frac{1}{k\pi} [ 2 - 2\cos(k\pi) ] $$](/data/andreaminininet/fourier-series-amnet-2026-21.gif)
Por tanto:
$$ b_k = \frac{2}{k\pi} \big(1 - \cos(k\pi)\big) $$
Esto depende de la paridad de k:
- Si k es impar, entonces cos(kπ) = -1, y por tanto $$ b_k = \frac{4}{k\pi} $$
- Si k es par, entonces cos(kπ) = 1, y por tanto $$ b_k = 0 $$
Nota. En resumen:

La serie de Fourier asociada es:

Solo intervienen los armónicos impares.
Para k=1:

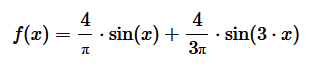
Para k=3:

Para k=5:

La aproximación mejora a medida que se incorporan armónicos de orden superior.
Tomar valores impares cada vez mayores como k=7, 9, 11, ... permite aproximarse progresivamente a la señal original.
Este ejemplo muestra con claridad cómo se construye una serie de Fourier paso a paso.
Y así sucesivamente.