Constant Multiple Rule for Definite Integrals
Multiplicar la integral definida de una función \( f(x) \) en el intervalo [a, b] por una constante \( k \) equivale a integrar el producto \( k \cdot f(x) \) en ese mismo intervalo:

Esta propiedad, conocida como constant multiple rule, es una de las reglas básicas del cálculo integral. Permite simplificar muchas integrales porque la constante puede sacarse fuera del signo de integral o, de manera equivalente, incorporarse dentro de la función que se está integrando.
Ejemplo práctico
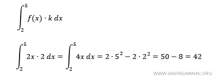
Consideremos la integral definida de la función \( f(x) = 2x \) en el intervalo [2, 5]:

Ahora calculemos la integral de esa misma función multiplicada por una constante \( k = 2 \):

Otra posibilidad es integrar directamente la función \( k \cdot f(x) \) en el mismo intervalo [2, 5]:

Como se observa, ambos procedimientos conducen exactamente al mismo resultado. Esto ilustra de forma concreta la regla del factor constante.
Demostración
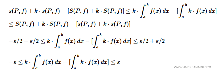
Supongamos que la función \( f(x) \) es integrable en el sentido de Riemann en el intervalo [a, b]. Entonces, para cualquier \( \epsilon > 0 \), existe una partición \( P \) tal que la diferencia entre la suma superior y la suma inferior de Darboux es menor que \( \epsilon / 2 \):
![]()
Consideremos ahora la función \( k \cdot f(x) \), donde \( k \geq 1 \):
![]()
Las sumas inferior y superior de Darboux correspondientes cumplen:

Debemos demostrar ahora que se cumple la siguiente desigualdad:

Para ello analizamos la diferencia entre ambos miembros:

Esto demuestra que, para cualquier \( \epsilon > 0 \), la desigualdad se cumple. En consecuencia, se verifica la siguiente igualdad:
$$ k \cdot \int_a^b f(x)\, dx = \int_a^b k \cdot f(x)\, dx $$
Esta relación expresa precisamente la constant multiple rule para integrales definidas.